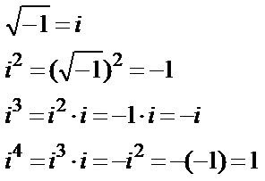
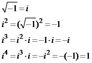
Dicevamo che Minkowski trasformó la coordinata temporale in una spaziale ma la fece diventare un numero immaginario
Questo per poter trasformare la combinazione delle coordinate in un vettore 😬
Lo so qualcuno ha obiettato che per trasformare la combinazione di più coordinate in un vettore non serve renderne una immaginaria 😩
Lo so lo so ,ma questa considerazione vale per le coordinate spaziali dove c’e un’assoluta libertà di movimento
Nella coordinata temporale, almeno nel nostro Universo, non sembra possibile muoversi all’indietro, perciò se la trasformassimo in una grandezza vettoriale, quando faremo delle operazioni sul vettore come per esempio la moltiplicazione si verificherebbero delle fastidiose scorciatoie anche su questa grandezza, possibili solo se esistesse la possibilità di tornare indietro nel tempo
Rendere immaginaria questa dimensione vuol dire impedire la commutazione degli operatori e quindi impedire anche queste incongrue scorciatoie 😬
Ma perché il tempo può andare solo avanti?
Se chiedeste a 20 premi Nobel per la fisica vi risponderebbero tutti allo stesso modo e quindi con grande modestia 😬 lo farò anche io
Probabilmente è l’entropia.
Probabilmente?😱
Tutte le leggi fisiche sono invarianti all’inversione temporale. Cioè la consentono
Relatività, Meccanica classica,elettromagnetismo, meccanica quantistica…tutte la consentono
Una no.
La seconda legge delle termodinamica, cioè l’aumento di entropia nell’universo.
Si sì ma lasciate perdere ,anche in alcuni decadimenti radioattivi viene violata la simmetria CPT😱
Quindi è l’aumento dell’entropia a far scorrere il tempo in avanti
Come?
Ve lo dirò la prossima volta 😬
Perché la prossima volta?
"Mi piace""Mi piace"